產品目錄
蒸汽流量計
渦街流量計
孔板流量計
壓縮空氣流量計
氣體流量計
熱式氣體質量流量計
旋進旋渦流量計
金屬管浮子流量計
氣體羅茨流量計
電磁流量計
渦輪流量計
橢圓齒輪流量計
水流量計
液體流量計
超聲波流量計
磁翻板液位計
浮子液位計
浮球液位計
玻璃管液位計
雷達液位計
超聲波液位計
投入式液位計
壓力變送器
差壓變送器
液位變送器
溫度變送器
熱電偶
熱電阻
雙金屬溫度計
相關產品
聯系我們
聯系電話:13655235852
服務熱線:0517-86801009
公司傳真:0517-86801007
公司郵箱:1464856260@qq.com
公司地址:江蘇省金湖縣理士大道61號
孔板蒸汽流量計的測量原理圖
孔板蒸汽流量計是將標準孔板與多參數差壓變送器(或差壓變送器、溫度變送器及壓力變送器)配套組成的高量程比差壓流量裝置,可測量氣體、蒸汽、液體及引的流量,廣泛應用于石油、化工、冶金、電力、供熱、供水等領域的過程控制和測量。節流裝置又稱為差壓式流量計,是由一次檢測件(節流件)和二次裝置(差壓變送器和流量顯示儀)組成廣泛應用于氣體。蒸汽和液體的流量測量。具有結構簡單,維修方便,性能穩定。在已知有關參數的條件下,根據流動連續性原理和伯努利方程可以推導出差壓與流量之間的關系而求得流量。
一、原理及結構
節流裝置是測量流量的差壓感受元件。配合差壓變送器以及多功能流量積算、控制、記錄儀表,組成流量測量系統;對于氣體、蒸汽、密度變化較大流體流量測量,*好增加壓力變送器、溫度傳感器組成溫壓補償系統,對流量測量系統進行修正,以求更加精確的流量測量數據。當節流裝置與溫度傳感器配合使用,配合熱能積算功能儀表組成流量、熱能測量系統。由于節流裝置技術成熟,安裝方便,使用穩定可靠,價格合理等特點,在流量儀表中應用廣泛,幾乎可以應用所有流量測量范圍。
節流裝置由標準節流件,取壓裝置和符合要求的前、后直管組成。
節流組件由節流件、取壓裝置(包括取壓口、引壓短管、一次閥門)、配套法蘭組成。
充滿管道的流體,當它們流經管道內的節流裝置時,流束將在節流裝置的節流處形成局部收縮,從而使收縮面內平均流速增加,在節流件的上游側靜壓力上升,下游側靜壓力降低,于是在節流裝置前后便產生了壓力降或叫差壓△P,介質的流速愈大,在節流裝置前后產生的壓差也就愈大,所以可通過測量壓差來衡量流體流量的大小。這種測量方法是以能量守恒定律和流動連續性方程為基礎的。
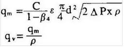
其基本公式如下:

c-流出系數 無量綱
d-工作條件下節流件的節流孔或喉部直徑
D-工作條件下上游管道內徑
qm-質量流量 Kg/s
qv-體積流量 m3/s
?-直徑比d/D 無量綱
流體的密度Kg/m3
可膨脹性系數 無量綱
下一篇:孔板蒸汽流量計的計算公式
上一篇:不銹鋼渦輪流量計選型

