產品目錄
蒸汽流量計
渦街流量計
孔板流量計
壓縮空氣流量計
氣體流量計
熱式氣體質量流量計
旋進旋渦流量計
金屬管浮子流量計
氣體羅茨流量計
電磁流量計
渦輪流量計
橢圓齒輪流量計
水流量計
液體流量計
超聲波流量計
磁翻板液位計
浮子液位計
浮球液位計
玻璃管液位計
雷達液位計
超聲波液位計
投入式液位計
壓力變送器
差壓變送器
液位變送器
溫度變送器
熱電偶
熱電阻
雙金屬溫度計
相關產品
聯系我們
聯系電話:13655235852
服務熱線:0517-86801009
公司傳真:0517-86801007
公司郵箱:1464856260@qq.com
公司地址:江蘇省金湖縣理士大道61號
渦街流量計選型參數要求
渦街流量計是根據卡門渦街原理研究生產的測量氣體、蒸汽或液體的體積流量、標況的體積流量或質量流量的體積流量計。主要用于工業管道介質流體的流量測量,如氣體、液體、蒸汽等多種介質。其特點是壓力損失小,量程范圍大,精度高,在測量工況體積流量時幾乎不受流體密度、壓力、溫度、粘度等參數的影響。渦街流量計無可動機械零件,因此可靠性高,維護量小,儀表性能長期穩定。

選用什么類型的渦街流量計應根據被測介質的性質和現場的工況共同決定。正確選用渦街流量計是保證用好渦街流量計的前提條件,需要考慮的因素包括介質、流量范圍、溫度、防護等級等。
1、介質的選擇:
渦街流量計對于氣體、液體、蒸汽等介質普遍適用,但以下介質不適合使用渦街流量計測量。
① 含有固體顆粒或懸浮物較多的流體;
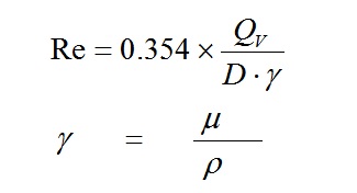
② 工況狀態運動粘度過大的介質,如一些高粘度油類(如重油)。渦街測量范圍主要受雷諾數影響,雷諾數計算公式為:

其中:
Qv-流體的工況體積流量,m3/h
D-管道內徑,mm
γ-流體的運動粘度,m2/s
μ-流體的動力粘度,Pa·s
ρ-流體的密度,kg/m3
③ 易結晶的介質,如硫磺等;
④ 對儀表材質具有腐蝕性的介質。
2、流量范圍的選擇:
■ 應將常用流量控制在渦街可測范圍的中上部
由于渦街下限流量的測量容易受管道振動的影響,應盡量避開低下限的測量。
■ 流量范圍超出渦街流量計可測范圍時,可采取縮徑或擴徑的方式,但應注意:
◆ 儀表縮擴徑不宜過大,縮徑后流速提高,增加了阻力和背壓,擴徑則容易出現空穴現象;
◆ 在直管段允許的情況下,應選擇“變徑頭+直管段”,以保證流體的穩定測量;
◆ 流量范圍的選擇還應考慮雷諾數是否在正常范圍內。
■ 渦街流量計不適宜測量脈動流
管路系統中如有羅茨式鼓風機、往復式水泵等動力機械設備時,會產生較強脈動,如脈動頻率處在渦街頻率帶內將產生測量誤差,脈動嚴重時甚至不能形成卡門渦街。

3、介質溫度的選擇:
■ 根據介質*高溫度選擇對應溫度等級的傳感頭元件,且介質*高工作溫度應低于傳感器額定上限溫度傳感器額定上限溫度只對管道介質瞬間高溫進行保護,如果渦街長期工作在*高溫度,則會縮短渦街傳感器的使用壽命。
■ 介質為蒸汽時,應選擇溫度等級相對高的傳感器型號
因為熱電廠直接出來的蒸汽溫度相對較高,一般要經過減溫減壓器向管道內噴水進行減溫減壓處理后才對外輸送,這種減溫減壓的方式無法迅速達到降溫的均勻性,會在管道內部(尤其是大管道)形成不均勻的高溫蒸汽團,如果忽略這種蒸汽團中的高溫,會嚴重降低渦街傳感頭的使用壽命。
■ 考慮檢修吹掃介質的溫度
檢修時可能需要用蒸汽吹掃管線,若忽略檢修吹掃介質的溫度,在檢修吹掃時可能會損壞渦街傳感頭。
4、防護等級的選擇:
渦街常用的IP防護等級有IP65、IP67、IP68等。
① IP65代表防止灰塵侵入及阻止噴水的防護;
② IP67代表防止灰塵侵入及短暫淹沒的防護;
③ IP68代表防止灰塵侵入及持續淹沒的防護。

■ 一般情況下,應根據渦街的安裝位置選擇合適的IP防護等級:
◆ 安裝在室內,選用IP65即可;
◆ 安裝在室外地面以上的位置,選用IP65以上的防護等級;
◆ 安裝在室外地面以下的溝渠中,選用IP68及分離型放大器,防止下雨后雨水浸泡,損壞放大器;
◆ 一些易燃易爆場合應選用防爆型渦街流量計。
相關資訊
- 渦街流量計如何正確安裝及安裝注意事項
- 渦街流量計在測量蒸汽方面的應用和難點分析
- 渦街流量計測量蒸汽流量不準確的因素分析
- 渦街流量計在蒸汽計量的問題及提高計量準確性的對策
- 渦街流量計測量原理
- 渦街流量計選型
- 渦街流量計安裝規范
- 渦街流量計接線圖說明
- 渦街流量計訂貨須知及選型樣譜
- 渦街流量計小流量切除的作用
- 渦街流量計在小流量時無信號
- 渦街流量計和質量流量計的區別
- 渦街流量計無流量有輸出的故障分析
- 渦街流量計沒有輸出原因
- 渦街流量計連接方式有哪些
- 渦街流量計夾持式和法蘭式的區別
- 渦街流量計工況和標況的區別與換算
- 渦街流量計和v錐流量計比較
- 渦街流量計的適用場合
- 渦街流量計安裝插入深度
- 渦街流量計帶溫壓補償的作用
- 渦街流量計脈沖頻率不穩定
- 渦街流量計測量不穩定是什么原因
- 渦街流量計小信號切除方法
- 渦街流量計4-20ma校準
- 渦街流量計4-20ma接線圖
- 渦街流量計精度不準解決方法
- 渦街流量計測量蒸汽不準的原因分析與解決辦法
- 渦街流量計對介質流速要求
- 渦街流量計測量介質溫度范圍

