產品目錄
蒸汽流量計
渦街流量計
孔板流量計
壓縮空氣流量計
氣體流量計
熱式氣體質量流量計
旋進旋渦流量計
金屬管浮子流量計
氣體羅茨流量計
電磁流量計
渦輪流量計
橢圓齒輪流量計
水流量計
液體流量計
超聲波流量計
磁翻板液位計
浮子液位計
浮球液位計
玻璃管液位計
雷達液位計
超聲波液位計
投入式液位計
壓力變送器
差壓變送器
液位變送器
溫度變送器
熱電偶
熱電阻
雙金屬溫度計
相關產品
聯系我們
聯系電話:13655235852
服務熱線:0517-86801009
公司傳真:0517-86801007
公司郵箱:1464856260@qq.com
公司地址:江蘇省金湖縣理士大道61號
渦街流量計和孔板流量計哪個測量準確
摘要:蒸汽的物理性質既不同于液體,也不同于一般氣體,所以給其精確計量帶來了一定的難度。由于蒸汽的特殊性和人們的傳統習慣,目前多使用差壓式流量計對其進行流量計量,而用孔板作為節流元件的差壓式流量計使用居多。近年來,將渦街流量計用于蒸汽計量的數量在逐年增加,其優越性是孔板式流量計所不具備的,特別是在蒸汽參數偏離設計值時,孔板式流量計的計量誤差將遠大于渦街流量計的計量誤差。本文對兩種流量計在蒸汽計量中的誤差進行分析和對比。
蒸汽的物理性質既不同于液體,也不同于一般氣體,所以給其精確計量帶來了一定的難度。由于蒸汽的特殊性和人們的傳統習慣,目前多使用差壓式流量計對其進行流量計量,而用孔板作為節流元件的差壓式流量計使用居多。近年來,將渦街流量計用于蒸汽計量的數量在逐年增加,其優越性是孔板式流量計所不具備的,特別是在蒸汽參數偏離設計值時,孔板式流量計的計量誤差將遠大于渦街流量計的計量誤差。下面對兩種流量計在蒸汽計量中的誤差進行分析和對比。
一、孔板流量計計量誤差分析
差壓式流量計是利用流體的動靜壓能轉換原理進行流體流量測量的。流體在管道中流動時,如遇流通面積改變將進行動靜壓能轉換,靜壓能轉換的多少與流通面積改變的大小、流體的流速大小和流體密度大小等有關。即靜動壓能的變化量是上述3個物理量的函數。
以孔板為節流元件的差壓式流量計,是將一個節流孔板放置在管道中,當被測流體以一定的流速通過節流孔板時,流體的靜壓能將在孔板前后發生變化,孔板前流體的靜壓能略有增加,孔板后流體的靜壓能將減少,從而在孔板前后出現壓差,這一壓差與流體的流量存在如下的關系:

式中:M——質量流量,kg/h;Q——工況條件下的體積流量,m3/h;α——流量系數;ε——流速膨脹系數;ΔP——差壓,Pa;ρ——工況條件下,被測流體的密度,kg/m3;d——工況條件下的節流件開孔直徑,mm。
由式(1)和式(2)可以看出,被測流體的流量M(Q)是流體的密度ρ和孔板前后壓差ΔP的函數。在實際使用中,是通過測量孔板前后壓差來間接獲得流量的,也就是說,差壓是**反映流體流量的可測參數,并且流量與差壓間是非線性的開方關系。而且在孔板孔徑和流量(即流體的流速)等其他條件一定的情況下,孔板前后的壓差還將受到流體密度變化的影響,其關系如下:

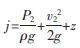
式中:j——流體經過孔板前的總能量;P2——流體經過孔板后有效距離內的靜壓力;ρ——流體的密度;g——重力加速度;υ2——流體經過孔板后有效距離內的流速;z——壓力損失。
通過以上分析可以看出,當測得某一差壓時,由于所測流體的密度不同,所代表的流量也不同,只有當流體的密度值等于孔板設計條件中的密度值時,所測的差壓才能真實反映所測的流量。蒸汽由鍋爐產出后送至用戶時,由于熱損耗,溫度和壓力的下降是不可避免的,導致其密度遠離了設計值,再加之其他相關設備又不可能完全復原設計條件,從而將產生測量誤差。測量誤差隨著蒸汽參數的波動而波動,而且沒有一個通用的修正公式。
表1是在同一管道中用同一個孔板及相同的測量設備對同一種蒸汽所測得的一組數據。從中可以看出,在相同的差壓下,由于蒸汽的溫度和壓力的變化,即蒸汽密度的變化,相同的差壓所對應的流量是不同的。以1.0MPa蒸汽計量為例,只有在蒸汽的物理條件完全符合設計條件(1.0MPa、300℃)時,儀表指示的示值才是真實的實際流量值。
表1 孔板差壓流量計在不同溫度、壓力下示值對比表

由表1可以看出,不論在什么條件下,對同一個差壓值,指示儀表所指示的量值都是定格在設計條件下的量值,與實際量值出現偏差(完全符合設計條件的量值除外),*大誤差可達-11.32%,這么大的誤差是實際交接計量中應該避免的。因為所測得的流量信號也就是差壓信號,對于設計值而言不是一個真實值,即便后續測量和運算再準確也無法消除計量誤差,所以在這種條件下,即使進行了溫壓補償,所測得的量值也是不準確的。
另一方面,即使現在一次儀表大多使用0.25級的差壓變送器,將測得的差壓信號轉換成電信號實現遠傳,但由于其輸出信號均為標準的(4~20)mADC,電流信號量程只有16mA,是固定不變的。如果流量量程過大,在信號處理上也會帶來一定的誤差。
若(4~20)mA對應的流量為(0~50)t/h,那么電流的變化量和流體的流量變化量之間關系是:0.32mA對應1t/h。當流量的變化量為0.1t/h時引起電流的變化量為0.032mA,由于二次儀表靈敏度的限制,如此小的變化量很難被測量出來,這必將增加測量的誤差。隨著時間的推移將使*終的計量結果產生很大的誤差。
二、渦街流量計計量誤差分析
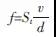
渦街流量計是利用流體振動原理進行流量測量的。在流動的流體中,垂直于流體流動方向插入一個柱狀體,流體在流經柱狀體后,在其下游兩側交替地產生兩列卡門渦街,卡門渦街的發生頻率在一定的雷諾數范圍內與流體的流速有關,并且呈正比線性關系。其關系式如下:

式中:f——渦街頻率,Hz;St——斯特羅哈爾參數(無量綱);υ——流體經過柱狀體時的平均流速,m/s;d——柱狀體的特征寬度,m。
在實際測量中,一臺制造完成的渦街流量計,其柱狀體的特征寬度d是固定不變的。由此可見,卡門渦街的頻率在一定的雷諾數范圍內只與流體的平均流速有關,與流體的密度、黏度等物理參數基本無關。只要測得了渦街頻率f和柱狀發生體處的流通面積,即可測得流過發生體兩側流體的體積流量,其體積流量關系式為

式中:qv——體積流量,m3/h;St——斯特羅哈爾系數;m——漩渦發生體兩側弓形面積與管道橫截面面積之比;d——漩渦發生體迎面寬度,m;D——表體通徑,m;f——渦街頻率,Hz。
由式(5)可以看出,在式中沒有涉及流體的任何物理參數。所以在常規使用中,一臺渦街流量計無論用于測量何種流體,只要雷諾數Red在2×104~7×105范圍內,就能得到穩定的流量系數,流量表發出的渦街頻數是一定的,即渦街流量計的流量系數,其表達形式為p/L(脈沖數每升)。只要準確地測得渦街頻率,就可準確地測得工況條件下流體的體積流量。這一點完全不同于差壓式流量計在流體參數偏離設計值時便產生很大誤差的情況。因此用渦街流量計測量蒸汽時,無論蒸汽的壓力和溫度如何變化,渦街流量計所測得流量都是被測蒸汽工況條件下的實時體積流量。
對于每一種型號的渦街流量計,都有它的設計流量系數,但實際生產出來的流量計,其流量系數與設計流量系數是有偏差的。因此,對于每一臺新生產的流量計,都要在標準流量裝置上進行標定,以測出其準確的流量系數。這樣,一方面可以使流量計的準確度得到確認,另一方面可使渦街流量計的測量準確度相比出廠時的準確度有一定程度的提高,這是孔板流量計無法相比的。
在實際測量蒸汽時,由于蒸汽溫度遠高于標定時流體的溫度,這樣將使渦街表柱狀發生體的特征寬度和流通面積發生變化,從而使流量系數發生變化。所以應對其進行修正,以得到實際的流量系數,進一步保證測量的準確度。這是孔板流量計所無法實現的。下面是橫河機電公司給出的一個修正公式:

式中:kt——工況條件下的流量系數;k——檢定條件下的流量系數;t——工況溫度。
通過上述分析我們可以看出,在實際使用中,無論被測流體的參數如何變化,渦街流量計所測得的都是工況條件下流體的真實體積流量。將這真實的體積流量乘以該條件下的密度即可得到流體的質量流量。在實際的蒸汽質量流量計量中,可將根據國際通用的“LAP-WS-IF97公式”制定的蒸汽密度數值表存入計算機中,再根據所測的蒸汽溫度和壓力在表中查出相應的密度值,將該密度值與渦街流量計測得的體積流量相乘,便可實現蒸汽的實時質量流量的計量。
渦街流量計的輸出多為電壓脈沖信號,其信號幅值是固定的,只要脈沖寬度達到要求,二次表就將如實地記錄該信號。目前,在用的各類二次儀表對其輸入的脈沖寬度*小值都不大于0.2ms,所以不會出現由于流量微小的變化使輸出信號變化量過小、二次儀表無法識別而產生計量誤差的情況。
三、結束語
由于蒸汽特殊的物理性質,所以在選用流量計時要給予充分重視。由上述對兩種流量計的測量原理的分析可以看出,當蒸汽的壓力和溫度偏離設計值時,兩種流量計產生的計量誤差相差很大。如當上述蒸汽的參數由設計值的300℃、1.0MPa變化到250℃、0.7MPa時,使用差壓式流量計計量*大可產生11.23%的誤差。而渦街流量計的計量誤差不會大于該表的設計計量誤差,一般為1.0%~2.0%。相比之下,渦街流量計的計量準確度遠高于差壓式流量計,所以在蒸汽的實際參數不能保證設計參數時,尤其是用于貿易交接計量方面,一定要慎用差壓式流量計,否則將帶來很大的計量誤差和經濟損失。
下一篇:一體化孔板流量計的結構
上一篇:孔板流量計和渦街流量計的區別
相關資訊
- 渦街流量計如何正確安裝及安裝注意事項
- 渦街流量計在測量蒸汽方面的應用和難點分析
- 渦街流量計測量蒸汽流量不準確的因素分析
- 渦街流量計在蒸汽計量的問題及提高計量準確性的對策
- 渦街流量計測量原理
- 渦街流量計選型
- 渦街流量計安裝規范
- 渦街流量計接線圖說明
- 渦街流量計訂貨須知及選型樣譜
- 渦街流量計小流量切除的作用
- 渦街流量計在小流量時無信號
- 渦街流量計和質量流量計的區別
- 渦街流量計無流量有輸出的故障分析
- 渦街流量計沒有輸出原因
- 渦街流量計連接方式有哪些
- 渦街流量計夾持式和法蘭式的區別
- 渦街流量計工況和標況的區別與換算
- 渦街流量計和v錐流量計比較
- 渦街流量計的適用場合
- 渦街流量計安裝插入深度
- 渦街流量計帶溫壓補償的作用
- 渦街流量計脈沖頻率不穩定
- 渦街流量計測量不穩定是什么原因
- 渦街流量計小信號切除方法
- 渦街流量計4-20ma校準
- 渦街流量計4-20ma接線圖
- 渦街流量計精度不準解決方法
- 渦街流量計測量蒸汽不準的原因分析與解決辦法
- 渦街流量計對介質流速要求
- 渦街流量計測量介質溫度范圍

