產品目錄
蒸汽流量計
渦街流量計
孔板流量計
壓縮空氣流量計
氣體流量計
熱式氣體質量流量計
旋進旋渦流量計
金屬管浮子流量計
氣體羅茨流量計
電磁流量計
渦輪流量計
橢圓齒輪流量計
水流量計
液體流量計
超聲波流量計
磁翻板液位計
浮子液位計
浮球液位計
玻璃管液位計
雷達液位計
超聲波液位計
投入式液位計
壓力變送器
差壓變送器
液位變送器
溫度變送器
熱電偶
熱電阻
雙金屬溫度計
相關產品
聯系我們
聯系電話:13655235852
服務熱線:0517-86801009
公司傳真:0517-86801007
公司郵箱:1464856260@qq.com
公司地址:江蘇省金湖縣理士大道61號
孔板流量計的結構原理圖
測量原理
孔板流量計是將標準孔板與多參數差壓變送器(或差壓變送器、溫度變送器及壓力變送器)配套組成的高量程比差壓流量裝置,可測量氣體、蒸汽、液體及引的流量,廣泛應用于石油、化工、冶金、電力、供熱、供水等領域的過程控制和測量。節流裝置又稱為差壓式流量計,是由一次檢測件(節流件)和二次裝置(差壓變送器和流量顯示儀)組成廣泛應用于氣體。蒸汽和液體的流量測量。具有結構簡單,維修方便,性能穩定。在已知有關參數的條件下,根據流動連續性原理和伯努利方程可以推導出差壓與流量之間的關系而求得流量。
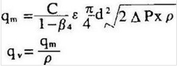
其基本公式如下:

c-流出系數 無量綱
d-工作條件下節流件的節流孔或喉部直徑
D-工作條件下上游管道內徑
qm-質量流量 Kg/s
qv-體積流量 m³/s
ß-直徑比d/D 無量綱
流體的密度Kg/m³
可膨脹性系數 無量綱
基本結構
1.節流件:標準孔板、標準噴嘴、長徑噴嘴、1/4圓孔板、雙重孔板、偏心孔板、圓缺孔板、錐形入口孔板等
2.取壓裝置:環室、取壓法蘭、夾持環、導壓管等
3.連接法蘭(家標準、各種標準及其它設計部門的法蘭) 、緊固件。
4.測量管
5.孔板流量計結構圖:

環室取壓標準孔板
PN≤2.5

環室取壓標準孔板
4.0≤PN≤6.4

鉆孔取壓標準孔板
PN≤2.5

緊固式八槽孔板
PN≤10

焊接式八槽孔板
PN≤10

徑距取壓標準孔板
PN≤2.5

壓透鏡墊孔板
PN22,32

法蘭取壓標準孔板
4.0≤PN≤6.4
下一篇:孔板流量計的安裝要求
上一篇:渦街流量計的應用領域
相關資訊
- 瓦斯孔板流量計安裝圖
- 瓦斯孔板流量計安裝要求
- 瓦斯孔板流量計工作原理
- 標準孔板流量計的工作原理
- 標準孔板流量計哪幾部分組成
- 標準孔板流量計維護保養
- 差壓孔板流量計的工作原理
- 差壓孔板流量計如何選型
- 差壓孔板流量計安裝要求
- 一體化孔板流量計的優缺點
- 一體化孔板流量計用途
- 一體化孔板流量計的安裝與維護
- 孔板流量計常見故障及處理方法
- 平衡孔板流量計工作原理
- 孔板流量計與平衡孔板流量計的差別
- 節流孔板流量計由哪些部分組成
- 節流孔板流量計用途
- 多孔孔板流量計的安裝要求
- 多孔孔板流量計特點
- 影響液體孔板流量計計量的因素
- 智能孔板流量計參數設置
- 環室孔板流量計用途
- 高壓孔板流量計結構圖
- 氣體孔板流量計工作原理
- 氣體孔板流量計的校準
- 氣體孔板流量計日常維護
- dn50孔板流量計的量程比如何確定
- 關于一體化孔板流量計的產生誤差原因及日常維護要點
- 一體化孔板流量計工作原理
- 一體化孔板流量計常見故障處理

