產品目錄
蒸汽流量計
渦街流量計
孔板流量計
壓縮空氣流量計
氣體流量計
熱式氣體質量流量計
旋進旋渦流量計
金屬管浮子流量計
氣體羅茨流量計
電磁流量計
渦輪流量計
橢圓齒輪流量計
水流量計
液體流量計
超聲波流量計
磁翻板液位計
浮子液位計
浮球液位計
玻璃管液位計
雷達液位計
超聲波液位計
投入式液位計
壓力變送器
差壓變送器
液位變送器
溫度變送器
熱電偶
熱電阻
雙金屬溫度計
相關產品
聯系我們
聯系電話:13655235852
服務熱線:0517-86801009
公司傳真:0517-86801007
公司郵箱:1464856260@qq.com
公司地址:江蘇省金湖縣理士大道61號
蒸汽流量計的工作原理與儀表系數K的影響因素和變化規律
摘要: 文章闡述了蒸汽流量計在集中供熱的園區企業能源計量中的應用,通過分析蒸汽流量計的工作原理,總結蒸汽流量計在不同介質的流體使用特性,重點闡述了在氣體和蒸汽流量測量中注意事項。
嘉興港區化工園區在構建“外供蒸汽→冷凝水回用→脫鹽水→鍋爐給水”能源循環利用產業鏈的發展過程中,能源計量發揮了積*作用,在中低壓蒸汽外供系統 ( 0. 8、1. 3、2. 5、3. 5 MPa蒸汽) 、水資源回用系統 ( 冷凝水、脫鹽水) 和集中供氣系統 ( 壓縮空氣、氮氣和氧氣) 的流量測量中廣泛采用了蒸汽流量計,為貿易結算提供了正確可靠的能源計量數據,創造了嘉興港區化工園區企業群 “共生共贏”良好局面,取得了良好的經濟效益和社會效益。
1 蒸汽流量計的工作原理
蒸汽流量計利用“卡門渦街”原理。在流體中安放旋渦發生體,流體在旋渦發生體的下游兩側交替地分離出兩列有規律的交錯排列的旋渦,在一定雷諾數范圍內,該旋渦頻率與旋渦發生體的幾何尺寸、管道的幾何尺寸有關,旋渦的頻率正比于流量,其結構原理如圖 1 所示。

式中: f 為旋渦頻率,Hz; S t 為斯特勞哈爾數; v 1
為發生體兩側的平均流速,m/s; d 為發生體迎流面的寬度,m; v 為管道平均流速,m/s; m 為旋渦發生體兩側弓形面積與管道橫截面面積之比。

式中: D 為管道內徑,m; K 為蒸汽流量計的儀表系數; R i 為瞬時流量單位時間校正系數;若 K 系數單位是脈沖/升; q v 單位是 m 3 /h,則 R i =3. 6。從式 ( 3) 可見,對于不可壓縮流體,表征蒸汽流量計特性的儀表系數 K 與斯特勞哈爾數 S t 有關,與漩渦發生體 ( m,d) 、管道的幾何尺寸( D) 有關。
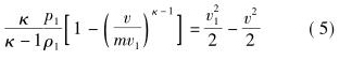
對于可壓縮流體由連續性方程可推導得到 v 1與管道平均流速 v 的關系為:

v 1 和 v 關系不僅與 m 相關,還和被測介質的等熵指數 K、壓力 p 1 、密度 ρ 1 相關。被測介質的流量是由管道平均流速 v 所反映出來,而蒸汽流量計所檢測到的旋渦所表示的流速是旋渦發生體兩側的平均流速 v 1 ,對由于流體的壓縮性所引起的v 1 的差異性說明蒸汽流量計在氣體 ( 蒸汽) 測量中流速 ≥35 m/s 時,測量準確度等級會降低0. 5%。下面重點分析在各種不同流體介質條件下K 的影響因素和變化規律。
2 蒸汽流量計儀表系數 K 的影響因素和變化規律
2. 1 管道雷諾數的影響
就多數蒸汽流量計而言,管道雷諾數 R eD 在2 ×10 4 ~ 7 × 10 6 范圍內,斯特勞哈爾數 S t 可看做常數,在此區間可保證測量精度。斯特勞哈爾數S t 是蒸汽流量計的重要系數。如圖 2 所示,曲線S t ≈0. 17 時,旋渦頻率與流速成正比。

2. 2 溫度的影響
從式 ( 3) 中可以看出,溫度對蒸汽流量計 K系數計量特性的影響主要有如下 3 個因素: D、m、d,在不同流體介質條件下,機械結構尺寸的變化主要是由于溫度的變化帶來的熱脹冷縮引起,對圖 1 所示發生體,得到 m 的計算公式為:



由此計算分析可以看出,隨著介質溫度升高或降低,蒸汽流量計機械結構因熱脹冷縮 ( D、m、d) 尺寸發生變化,引起儀表系數 K t 隨之變化,因此,蒸汽流量計使用時一定要重視 “工況狀態下的溫度設定”這個參數設置,設定溫度越接近測量介質的溫度,測量誤差越小。
2. 3 氣體 (蒸汽) 壓縮性引起的影響
水為不可壓縮流體,可按照式 ( 1) 計算得到介質為水時發生體兩側的平均流速 v 1w 。空氣和蒸汽為可壓縮流體,由式 ( 5) 可得到工況下的介質為空氣和蒸汽時發生體兩側的平均流速 v 1a 、v 1s 與v 1w 比較,可計算分析得到由于介質的可壓縮性帶來的測量誤差。
實驗條件下空氣、蒸汽、水為測試流體介質時,各測試條件參數如表 2 所示。

將上述參數帶入式 ( 4) 中,采用 matlab 對公式進行分析計算,得到 v 1w 、v 1a 、v 1s 隨 v 變化的數值,如表 3 所示。

表3 的后2 列分別表示了空氣、蒸汽由于可壓縮性而引入的計量偏差,由計算數據可以得出,相同管道平均流速 v 的條件下,可壓縮介質發生體兩側的流速均比不可壓縮流體的流速 v 1 大,并且隨 v 的增大,引起的差值增大,v 1 的相對偏差也越來越大,在流速為 50 m/s 時由于介質的可壓縮性可引起接近 0. 5%的偏差,這也是大多數的蒸汽流量計在選型資料中提到的蒸汽流量計在氣體 ( 蒸汽)流量測量中準確度等級是 1. 5 級,而在液體中準確度等級能達到 1. 0 級的原因,也有蒸汽流量計的選型樣本中明確氣體 ( 蒸汽) 流量測量中在流速低于 35 m/s 時準確度等級是 1. 0 級,在流速高于 35 m/s 到允許的好大流速測量范圍內準確度等級是 1. 5 級,因此在蒸汽流量測量應用中,常用流量的流速在 ( 20 m/s≤v≤35 m/s) 范圍內是比較合理的。
2. 4 蒸汽流量計在不同介質流量測量中的注意事項
通過上述蒸汽流量計的測量原理和影響因素進行全面的分析,蒸汽流量計在不同介質流量測量中的共性、差異性及安裝應用注意事項如表4 所示。

3 蒸汽流量計選型的計算舉例
某一單位有一蒸汽計量,介質為過熱蒸汽,管道: 325 × 10,管道材質 15CrMo。設計壓力:3. 7 MPa( G) ,設計溫度: 400 ℃,設計密度 ρ =12. 912 5 kg/m 3 ,操作動力粘度 η = 0. 024 79 cP,好大流量 80 000 kg/h,常用流量: 60 000 kg/h,好小流量 10 000 kg/h。在選擇蒸汽流量計口徑時,必須滿足條件:雷諾數在 2 × 10 4 ~ 7 × 10 6 的范圍內,選擇了雷諾數就確定了流速。選型經過如下。
3. 1 蒸汽流量計的口徑選擇
根據公式:

計算得到流速,若蒸汽流量計的說明書提供口徑和標準值 ( K 系數和標稱脈沖頻率 f 標稱 = f/v) ,還可以計算得到相應流速下的旋渦頻率 f。
計算得到 DN200 ~ DN300 口徑的蒸汽流量計可保證精度的流量范圍,流速與流量的對應關系如表 5 所示。
從表 5 可以看出,采用口徑為 DN250 蒸汽流量計常用流量下的流速為 30. 87 m/s,好小流速和好大流量時的流速也是滿足要求的,因此該管道蒸汽測量采用 DN250、高溫型、分離型蒸汽流量計是比較合理的。
3. 2 選定口徑下的好大流量和好小流量時雷諾數



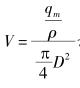
式中: q m 為工作狀態下的質量流量,kg/h;D 為蒸汽流量計內徑,mm; η 為工作條件下的粘度,MPa( cP) 。
雷諾數滿足蒸汽流量計規定的范圍。因此,口徑選用 DN250 是適合的。
4 溫度壓力補償
由于蒸汽流量計屬于速度式流量計,流體流量測量所得的是工作狀態下的體積流量,而蒸汽貿易結算通常采用質量流量,氣體貿易結算通常采用標準狀態體積流量,因此需要采用溫壓補償測得溫度和壓力輸入 DCS 或流量結算儀得到補償系數,溫壓補償后獲得質量流量或標準狀態體積流量。
5 檢定校準
貿易結算的蒸汽流量計依法定期送**法定計量機構進行強制檢定,按 JJG 1029-2007 《蒸汽流量計》檢定規程要求,檢定周期一般不超過 2年。與蒸汽流量計配套的流量積算儀按 JJG 1003-2016 《流量積算儀》檢定規程要求,檢定周期一般不超過 1 年。
6 結束語
通過全面考慮影響蒸汽流量計測量精度的所有因素,正確選型、合理安裝和使用,選好儀表,用好儀表,充分發揮蒸汽流量計的優點,為園區企業間的貿易結算提供準確可靠的能源計量數據,從而不斷提高能源計量和能源管理水平。
嘉興港區化工園區在構建“外供蒸汽→冷凝水回用→脫鹽水→鍋爐給水”能源循環利用產業鏈的發展過程中,能源計量發揮了積*作用,在中低壓蒸汽外供系統 ( 0. 8、1. 3、2. 5、3. 5 MPa蒸汽) 、水資源回用系統 ( 冷凝水、脫鹽水) 和集中供氣系統 ( 壓縮空氣、氮氣和氧氣) 的流量測量中廣泛采用了蒸汽流量計,為貿易結算提供了正確可靠的能源計量數據,創造了嘉興港區化工園區企業群 “共生共贏”良好局面,取得了良好的經濟效益和社會效益。
1 蒸汽流量計的工作原理
蒸汽流量計利用“卡門渦街”原理。在流體中安放旋渦發生體,流體在旋渦發生體的下游兩側交替地分離出兩列有規律的交錯排列的旋渦,在一定雷諾數范圍內,該旋渦頻率與旋渦發生體的幾何尺寸、管道的幾何尺寸有關,旋渦的頻率正比于流量,其結構原理如圖 1 所示。

式中: f 為旋渦頻率,Hz; S t 為斯特勞哈爾數; v 1
為發生體兩側的平均流速,m/s; d 為發生體迎流面的寬度,m; v 為管道平均流速,m/s; m 為旋渦發生體兩側弓形面積與管道橫截面面積之比。

式中: D 為管道內徑,m; K 為蒸汽流量計的儀表系數; R i 為瞬時流量單位時間校正系數;若 K 系數單位是脈沖/升; q v 單位是 m 3 /h,則 R i =3. 6。從式 ( 3) 可見,對于不可壓縮流體,表征蒸汽流量計特性的儀表系數 K 與斯特勞哈爾數 S t 有關,與漩渦發生體 ( m,d) 、管道的幾何尺寸( D) 有關。
對于可壓縮流體由連續性方程可推導得到 v 1與管道平均流速 v 的關系為:

v 1 和 v 關系不僅與 m 相關,還和被測介質的等熵指數 K、壓力 p 1 、密度 ρ 1 相關。被測介質的流量是由管道平均流速 v 所反映出來,而蒸汽流量計所檢測到的旋渦所表示的流速是旋渦發生體兩側的平均流速 v 1 ,對由于流體的壓縮性所引起的v 1 的差異性說明蒸汽流量計在氣體 ( 蒸汽) 測量中流速 ≥35 m/s 時,測量準確度等級會降低0. 5%。下面重點分析在各種不同流體介質條件下K 的影響因素和變化規律。
2 蒸汽流量計儀表系數 K 的影響因素和變化規律
2. 1 管道雷諾數的影響
就多數蒸汽流量計而言,管道雷諾數 R eD 在2 ×10 4 ~ 7 × 10 6 范圍內,斯特勞哈爾數 S t 可看做常數,在此區間可保證測量精度。斯特勞哈爾數S t 是蒸汽流量計的重要系數。如圖 2 所示,曲線S t ≈0. 17 時,旋渦頻率與流速成正比。

2. 2 溫度的影響
從式 ( 3) 中可以看出,溫度對蒸汽流量計 K系數計量特性的影響主要有如下 3 個因素: D、m、d,在不同流體介質條件下,機械結構尺寸的變化主要是由于溫度的變化帶來的熱脹冷縮引起,對圖 1 所示發生體,得到 m 的計算公式為:



由此計算分析可以看出,隨著介質溫度升高或降低,蒸汽流量計機械結構因熱脹冷縮 ( D、m、d) 尺寸發生變化,引起儀表系數 K t 隨之變化,因此,蒸汽流量計使用時一定要重視 “工況狀態下的溫度設定”這個參數設置,設定溫度越接近測量介質的溫度,測量誤差越小。
2. 3 氣體 (蒸汽) 壓縮性引起的影響
水為不可壓縮流體,可按照式 ( 1) 計算得到介質為水時發生體兩側的平均流速 v 1w 。空氣和蒸汽為可壓縮流體,由式 ( 5) 可得到工況下的介質為空氣和蒸汽時發生體兩側的平均流速 v 1a 、v 1s 與v 1w 比較,可計算分析得到由于介質的可壓縮性帶來的測量誤差。
實驗條件下空氣、蒸汽、水為測試流體介質時,各測試條件參數如表 2 所示。

將上述參數帶入式 ( 4) 中,采用 matlab 對公式進行分析計算,得到 v 1w 、v 1a 、v 1s 隨 v 變化的數值,如表 3 所示。

表3 的后2 列分別表示了空氣、蒸汽由于可壓縮性而引入的計量偏差,由計算數據可以得出,相同管道平均流速 v 的條件下,可壓縮介質發生體兩側的流速均比不可壓縮流體的流速 v 1 大,并且隨 v 的增大,引起的差值增大,v 1 的相對偏差也越來越大,在流速為 50 m/s 時由于介質的可壓縮性可引起接近 0. 5%的偏差,這也是大多數的蒸汽流量計在選型資料中提到的蒸汽流量計在氣體 ( 蒸汽)流量測量中準確度等級是 1. 5 級,而在液體中準確度等級能達到 1. 0 級的原因,也有蒸汽流量計的選型樣本中明確氣體 ( 蒸汽) 流量測量中在流速低于 35 m/s 時準確度等級是 1. 0 級,在流速高于 35 m/s 到允許的好大流速測量范圍內準確度等級是 1. 5 級,因此在蒸汽流量測量應用中,常用流量的流速在 ( 20 m/s≤v≤35 m/s) 范圍內是比較合理的。
2. 4 蒸汽流量計在不同介質流量測量中的注意事項
通過上述蒸汽流量計的測量原理和影響因素進行全面的分析,蒸汽流量計在不同介質流量測量中的共性、差異性及安裝應用注意事項如表4 所示。

3 蒸汽流量計選型的計算舉例
某一單位有一蒸汽計量,介質為過熱蒸汽,管道: 325 × 10,管道材質 15CrMo。設計壓力:3. 7 MPa( G) ,設計溫度: 400 ℃,設計密度 ρ =12. 912 5 kg/m 3 ,操作動力粘度 η = 0. 024 79 cP,好大流量 80 000 kg/h,常用流量: 60 000 kg/h,好小流量 10 000 kg/h。在選擇蒸汽流量計口徑時,必須滿足條件:雷諾數在 2 × 10 4 ~ 7 × 10 6 的范圍內,選擇了雷諾數就確定了流速。選型經過如下。
3. 1 蒸汽流量計的口徑選擇
根據公式:

計算得到流速,若蒸汽流量計的說明書提供口徑和標準值 ( K 系數和標稱脈沖頻率 f 標稱 = f/v) ,還可以計算得到相應流速下的旋渦頻率 f。
計算得到 DN200 ~ DN300 口徑的蒸汽流量計可保證精度的流量范圍,流速與流量的對應關系如表 5 所示。
從表 5 可以看出,采用口徑為 DN250 蒸汽流量計常用流量下的流速為 30. 87 m/s,好小流速和好大流量時的流速也是滿足要求的,因此該管道蒸汽測量采用 DN250、高溫型、分離型蒸汽流量計是比較合理的。
3. 2 選定口徑下的好大流量和好小流量時雷諾數



式中: q m 為工作狀態下的質量流量,kg/h;D 為蒸汽流量計內徑,mm; η 為工作條件下的粘度,MPa( cP) 。
雷諾數滿足蒸汽流量計規定的范圍。因此,口徑選用 DN250 是適合的。
4 溫度壓力補償
由于蒸汽流量計屬于速度式流量計,流體流量測量所得的是工作狀態下的體積流量,而蒸汽貿易結算通常采用質量流量,氣體貿易結算通常采用標準狀態體積流量,因此需要采用溫壓補償測得溫度和壓力輸入 DCS 或流量結算儀得到補償系數,溫壓補償后獲得質量流量或標準狀態體積流量。
5 檢定校準
貿易結算的蒸汽流量計依法定期送**法定計量機構進行強制檢定,按 JJG 1029-2007 《蒸汽流量計》檢定規程要求,檢定周期一般不超過 2年。與蒸汽流量計配套的流量積算儀按 JJG 1003-2016 《流量積算儀》檢定規程要求,檢定周期一般不超過 1 年。
6 結束語
通過全面考慮影響蒸汽流量計測量精度的所有因素,正確選型、合理安裝和使用,選好儀表,用好儀表,充分發揮蒸汽流量計的優點,為園區企業間的貿易結算提供準確可靠的能源計量數據,從而不斷提高能源計量和能源管理水平。
相關資訊
- 蒸汽流量計與閥門的安裝距離
- 蒸汽流量計和調節閥的安裝順序
- 蒸汽流量計溫壓補償安裝規范
- 蒸汽流量計冷凝罐安裝規范
- 蒸汽流量計一體式和分體式的區別
- 蒸汽流量計的作用和用途
- 蒸汽流量計的內部結構圖
- 蒸汽流量計的優缺點
- 蒸汽流量計常見故障分析與處理
- 關于蒸汽孔板流量計測量原理及常見誤差分析
- 蒸汽孔板流量計安裝要求
- 蒸汽孔板流量計安裝圖
- 鍋爐蒸汽流量計怎么安裝
- 鍋爐蒸汽流量計如何選型
- 過熱蒸汽流量計的選型
- 溫壓補償蒸汽流量計選型
- 溫壓補償蒸汽流量計種類
- 如何選擇水蒸汽流量計
- 分體式蒸汽流量計管式安裝
- 高溫高壓蒸汽流量計安裝規范
- 一體式蒸汽流量計如何選型
- 工業蒸汽流量計安裝規范
- dn100蒸汽流量計流量范圍
- dn200蒸汽流量計安裝尺寸參數
- 插入式蒸汽流量計安裝要求
- 孔板蒸汽流量計的安裝要求
- 孔板蒸汽流量計選型注意事項
- 蒸汽流量計有什么種類
- 蒸汽流量計計量不準是什么原因
- 渦街蒸汽流量表內部結構

